Miniature du produit Informations de garantie

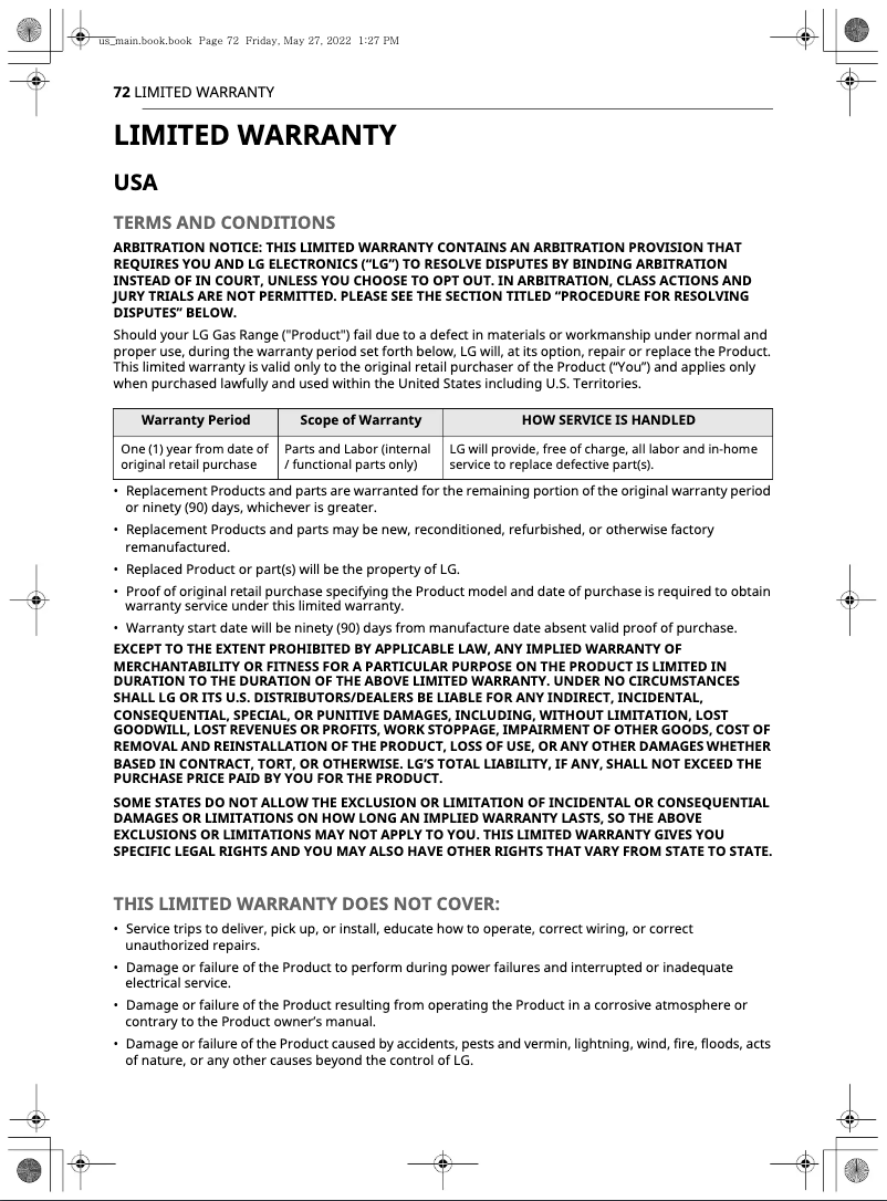
Informations de garantie : LG LTGL6937D cuisinière

LG Appareils ménagers Cuisinière

De quoi avez-vous besoin ?

En validant, je déclare accepter sans réserve les Conditions Générales et la Politique de confidentialité de wenony.fr. En validant les informations, je confirme commander un contrat WeNony Premium au tarif de 0,90 € le premier mois, puis au tarif de 49,00 € par mois avec un engagement de 12 mois. Je confirme être habilité à engager l’entreprise dans ces conditions.

Présentation de la notice : Informations de garantie Cuisinière LG LTGL6937D

Recherchez parmi les 8 pages de la notice : Informations de garantie Cuisinière LG LTGL6937D pour trouver les informations qu'il vous manque. Vous ne trouvez pas les réponses à vos questions ? Réservez une vidéo assistance en moins de 2 minutes.

Caractéristiques

Marque LG
Modèle LTGL6937D
Catégorie Appareils ménagers
Type de produit Cuisinière
Nombre de pages 8 Pages
Type de fichier
Page / 8
Page n°1 - Informations de garantie LG LTGL6937D